その場合基本は使用しているPC上、今のWindowsで言えば“My Document”上になるが、アクセス頻度の高いメインHDDのクラッシュに対するリスク管理と作業開始時のPCに縛り付けられず他の場所・他のPCで作業を続行するという二つの理由で別の場所に(写しを)保存する、という高いニーズが存在する。
そこでPC黎明期から速さ・可搬性・保存安定性などを切り口として、テープやフロッピーディスク、MO、zipなど様々なメディアが現れては消えていった。現在通信インフラの整備と速度向上があいまって、ネット上の置き場“クラウド”にデータを保存する、という新たな手法が確立されつつあるが、通信ができないエリアの存在や高速移動中の通信速度低下などの問題からローカルにデータを保存する、というニーズも相変わらず高い。
その場合、接続規格としては2013年3月現在、USB(Universal Serial Bus)が圧倒的に汎用性が高い。USBにはいくつかの速さの規格があるが、現時点で制定・製品化されている最速の規格は「USB 3.0」。追加チップの搭載が容易なデスクトップPCには数年前から標準装備化されていたが、最近はモバイル用チップセットでもネイティブサポートされたため、通信速度が毎秒5GbitのUSB 3.0が最も使用される外部記憶装置用インターフェースとなった。
それ以前の規格である転送速度480Mbit/sのUSB 2.0との後方互換性をもち、多用されるAコネクタは同一形状。USB 3.0対応機器をUSB 3.0ポートに挿せば高速な転送が可能であり、USB 2.0ポートに接続してもデバイスの能力は発揮できないが使用は可能、電源を入れたまま抜き差しが出来、ある程度の給電も可能(USB 3.0では規格上5V、900mA)と大変使い勝手が良い。
そこでこの分野には外付けHDD、USBメモリを代表とするフラッシュメモリなど多種多様な記憶媒体が存在している。
-より容量は大きく、より速く、よりサイズは小さく、より安全に、そしてより安く-
それらのニーズを高いレベルで満たす製品が現れた。USB 3.0規格の外付けポータブルSSD。
・伸長著しいこの分野は、USB メモリやSDカードより容量が大きいサイズが用意され、
・今までのメディアを大きく抜き去る速さであり、
・衝撃吸収処理などが必要なHDDより小さくでき、
・物理的な回転部分がないため衝撃にも強く、
・唯一の問題であった価格も充分「使える」価格帯に入ってきたデバイス
このたびアイ・オー・データ機器より発売された最新ポータブルSSD「カクうす9」を検証してみよう。
今回cybercatの検証分野は2題。
Thunderboltよりも汎用性が高い
1)USB 3.0環境において、外部接続記憶装置として最速の座を獲得できるのか?
まだUSB 2.0が大きな比率として残るモバイル分野の一例としてスレートPCを取り上げ、不足しがちな記憶容量アップを図る際に
2)ONKYO TW3A-A31C77H容量アップ、どれが一番速い?
はたしてポータブルSSDは優位性を発揮できるか?
ではこの2題に入る前に、このポータブルSSDの概要を見てみよう。薄型のボディはアルミのヘアラインフィニッシュ。エッジが立ったデザインは質感も高いが、なにより薄い!!2008年購入のポータブルHDD、HDPS-U320
は2cm(20.4mm)もあり、厚さ9mmの本品は2枚入ってしまう。ちょうど1年前購入したUSB 3.0対応のポータブルHDD
に比べても2/3(HDDが13.5mmに対して本品9mm)。本品本体のみの重さは102g、インターフェースはUSB 3.0とUSB 2.0両対応、USBバスパワーで携帯にも適している。なお現在USB 3.0/2.0どちらで接続されているかは、アクセスランプにより一目瞭然だ。この「薄くて」「スタイリッシュ」、洒落たリビングに置いても違和感のないガンメタリックのヘアラインのシルキィフィニッシュのアルミボディ、わずか厚さ9mm、100g少し、という軽さにより、持ち運びにも適している。若干気になったのはUSBケーブルのコネクタ部分が大きく、ケーブル自体も太いことくらいだろうか。あと軽く、薄く、きれいなヘアラインのアルミ仕上げは持ち歩きたくなるが、このヘアラインの外装が傷付くと気持ちも凹みそうだ。フェルトの縫い合わせの袋のような簡単なものでも良いので、キャリングケースが添付されているとよかったかもしれない。
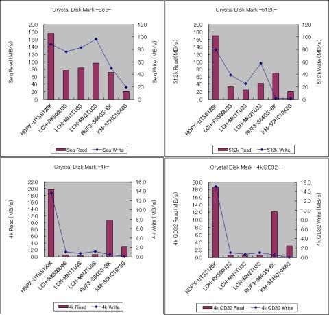
それでは2点について検証してみよう。現在、cybercatのメインPCは構築後もうすぐ3年のものだが、USB 3.0の広がりを感じ始めていた頃であったため、USB 3.0端子の装備をM/B選択基準の重要なファクターとした。今となってはリアパネル4端子のみ、というのは数としては少ないが、当時からAMDプラットフォームは転送レーンとして充分な帯域が有り、USB 3.0の速さを享受できた。このメインPCに手持ちのUSB 3.0接続外部記憶装置を接続し、その速さを検証する。検証デバイスは次の通り。
・I-O DATA ポータブルSSD「カクうす9」 120GB HDPX-UTSS120K(本品)
・LaCie 2.5インチ外付ポータブルHDD rikikiシリーズ 500GB LCH-RK500U3S
・LaCie 3.5インチ外付HDD minimusシリーズ 1TB LCH-MN1TU3S
・LaCie 3.5インチ外付HDD minimusシリーズ 2TB LCH-MN2TU3S
・BUFFALO USB3.0対応 USBメモリー 64GB RUF3-S64GS-BK
・USB3.0カードリーダー接続
:KingMax SDHCカード 8GB class10 KM-SDHC10X8G
製品特徴的にガチンコでぶつかるのはUSB 3.0対応ポータブルHDDだが、速さではそれを上回るであろう外部電源を要する大容量3.5インチHDD2種と、「転送速度71MB/s」を謳う高速USB3.0 対応USBメモリ、そして規格上はSDカード類最大のスピードクラス、「class 10」(最低保障レート10MB/sec)のSDHCメモリカードをUSB3.0対応のカードリーダーにつないだもの、と現在USB 3.0接続しそうなものを揃えてみた。
検証機はcybercatの現メイン機で、構成は以下の通り。
CPU:AMD PhenomⅡX6 1090T BlackEdition
M/B:ASRock 890FX Deluxe3
メモリ:CFD W3U1600F-4G
VGA:玄人志向 RH5850-E1GHW/HD/DP/SP
システムドライブ:WD Caviar Black WD1002FAEX
OS:Windows 7 Proffesional 64bit(SP1)
この構成でM/Bの背面にある同一のUSB 3.0端子にそれぞれのデバイスを接続して検証した。
ちなみに、ASRock 890FX Deluxe3のUSB 3.0端子はチップセット内蔵ではなく、ルネサス エレクトロニクス(旧NECエレクトロニクス)のホストコントローラーチップ「μPD720200」を介したもの。
接続はPCI Express 2.0(Gen2)x1でこのM/BはPCI Expressのレーン数もサウスブリッジ(SB850)の接続スピードも充分で、古くとも接続速度の検証には充分用をなす。
まずドライブ系の各商品がどのようなディスクを使用しているのか確認するために、hiyohiyoさん開発のディスク情報ツールCrystalDiskInfo 5.3.1で内蔵されているドライブを調査した。本品内蔵品は「SSDSC2BW120A3」、すなわちインテル製SSDでは上級グレードの、転送スピードと長期使用での速度低下の少なさで定評がある「SSD 520」であることが判明した。周辺機器メーカー製の外部記憶装置類は、その製造時期や容量によって採用する部材の調達先が変更となることもあるので、今後この製品にSSD 520が採用され続けられるかどうかは不明だが、この「カクうす9」に対するI-O DATAの取り組みがうかがえる部材選定だ。
対抗のHDD群は奇しくもすべてLaCie製(取り扱いエレコム)だが、おもしろいことが判った。2.5インチ ポータブルHDDのLCH-RK500U3Sが他の二つとが内蔵HDDが異なるのは当然だが、同じLCH-MNU3SシリーズであるLCH-MN1TU3SとLCH-MN2TU3Sが内蔵されているドライブが異なる。しかもやや方向性も異なる商品。1TBは日立のCinemaStar 5K1000でバッファサイズは小さいながら、CoolSpinテクノロジで速度と静粛性を狙ったHDDだし、2TBの方はSeagateのBarracuda Greenで省電力向け。ただしバッファサイズは大きめで省電力型のわりには回転数がチョイ高めのHDDが選択されている。一方、2.5インチドライブが内蔵されているLCH-RK500U3SはSeagate製5400回転のMomentus 5400.6。このあたりがどう影響するのだろうか。
まず定番ベンチマーク、zigPROユーザーでもあるhiyohiyoさん開発の定番ハードディスクベンチマークソフトウェア CrystalDiskMark 3.0.1 をベースにユーザインタフェース部分をカスタマイズした「CrystalDiskMark Nano Pico Edition」
を実行した。
結果は次の通り。圧倒的な性能だ。Readは他のデバイスを寄せ付けない。Sequential ReadはHDD群が健闘を見せるが、それでも1.83倍(対LCH-MN2TU3S)、HDDがふるわないRandom系は、「転送速度71MB/s」を謳う高速USBメモリRUF3-S64GS-BKが速いが、各デバイスに最低でも1.55倍の差をつけている。いずれのシチュエーションでも速い力を見せつける。一方Write系もSequential、Random問わない高い性能を発揮するが、唯一Sequential WriteにおいてのみHDDのひとつ、LCH-MN2TU3Sの後塵を拝した。これは先のCrystalDiskInfoの結果から理由を推理することができる。LCH-MN2TU3Sの内部のHDDは64MBの巨大なバッファーを持つBarracuda Green ST2000DL-9VT156。このバッファーが有効に働いて、書き込み時のスコアに貢献したのではないだろうか。一方Random系では他のデバイスを足元にも寄せ付けない。HDDは言うに及ばず、Readでは健闘した高速USBメモリもWriteではふるわず、特に実使用状態との相関性が高いというRandom Write 4KB (QD=32)は、勝負にならないSDHCカードは除いたとしても、約15~29倍のスコアでまさにクラス違い。
しかし、この「カクうす9」に内蔵されている120GBのIntel SSD 520をSATA接続した結果と比べると(SATA3Gbpsと比べても)見劣りする。
これは接続形式の問題なのか、SATA⇔USBの変換時のロスなのか判らないが、内蔵SSDの能力を使い切っているわけではないようだ。
では実使用ではどうだろうか。外部接続記憶装置として想定される「よくあるケース」として「大きなファイルの転送」に着目してみた。メインPCのデスクトップ上に置いた、1.42GBの大きさのmp4ファイルを切り取り、それぞれのデバイスに貼り付ける。そしてまた同じファイルをデバイスから切り取って、PCのデスクトップに戻す、という操作を実行した。この操作で「貼り付け」をクリックしてから「ファイルの移動」のダイアログが消えるまでを計測した。結果は以下の通り。結果は確かに本品が高速だが、ベンチマークほどの差は出なかった。HDDが高速でUSBメモリがふるわないと言う結果は、Sequential系のCrystalDiskMarkの結果に近い。あとLCH-MN1TU3Sだけ逆転しているが(誤差?)、他のデバイスではPC⇒デバイスの移動よりもデバイス⇒PCの方が高速に終了する。これはデバイス⇒PCの際に使う「受け側の」メモリが広いからだろうか(メインPCのメモリは8GB)。
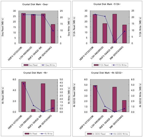
広くて(容量が大きくて)、速いポータブルSSD「カクうす9」はUSB 3.0接続外部記憶装置として最高のデバイスだった。次に本品の「ポータブル」という点に注目して、モバイルPCの容量アップとしての記憶装置は何が良いか検証した。
モバイルPCとしてはスレートPC、「ONKYO TW3A-A31C77H」
を充てた。本品は元々は32ビット版のWindows 7 Home PremiumがOSとしてインストールされているが、現在はWindows 8 Pro
で運用している。また、その他の増強としてメモリを2GB⇒4GB、SSDを32GB⇒120GBに変更している。Sandy Bridge世代のCore i7(Core i7-2677M)で高い能力を誇るが、残念ながら外部接続端子群は充実しておらず、USB 2.0が1ポートある以外はSD・SDHC・SDXCメモリーカード/MMC 共用スロットが1スロットあるだけだ。従って販売状態でのストレージ容量の少なさを補うためには、SD系カードをスロットに入れるか、USB接続で外部記憶装置を増設するしかない。
SDカードはスロットインすれば出っ張りなどがないので、そこが便利でclass6のSDXCカードを常設している。
これは広さ(64GB)を重視して選択したため、決して最速のものではないが、これと本品、およびモバイル用途と言うことでバスパワーで動作する2.5インチ外付ポータブルHDD、一般的に最も使われているUSBストレージとしてUSB3.0対応 USBメモリーを比較した。USBメモリはUSB 3.0接続のものだがUSBメモリ側のボトルネックの影響を除外するため、所持するUSBメモリ中最速のものを選定した。
検証対象は
・I-O DATA ポータブルSSD「カクうす9」 120GB HDPX-UTSS120K(本品)
・LaCie 2.5インチ外付ポータブルHDD rikikiシリーズ 500GB LCH-RK500U3S
・BUFFALO USB3.0対応 USBメモリー 64GB RUF3-S64GS-BK
・KINGMAX SDXCカード class6 64GB KM-SDXC6X64G
例によって定番ベンチマークCrystalDiskMark Nano Pico Editionをまわしてみた。なお、このEditionはCrystalDiskMark 3.0.1 をベースにしたものだが、Windows 8でもベンチマーク部分は完全互換であり、Windows 8のデスクトップアプリとして動作する。結果は以下の通り。ほぼすべてに渡って本品が最速のスコアを叩き出した。しかしそれは先のUSB 3.0接続時のような圧倒的なものではなく、僅差。2.5インチHDDや高速USBメモリとSequentialはReadもWriteもほぼ差がない(SDXCカードのみ見劣りするが)。Random系となるとやや差が付くが、それでもRead系はUSBメモリと大差がない。一方Write系はここでは大きく引き離し、優位性を見せた。
では実使用ではどうなのだろうか。先ほどのテストと同様スレートPCのデスクトップ上に置いた、1.42GBの大きさのmp4ファイルを切り取り、それぞれのデバイスに貼り付ける。そしてまた同じファイルをデバイスから切り取って、PCのデスクトップに戻す、という操作を実行した。貼り付けクリックから終了までの時間はそれぞれ以下の通り。SDカードよりは確かに速い。しかし、ポータブルHDDは何とか抑えたものの、高速USBメモリには1勝1敗。同じ事を行ったメインPCでのUSB 3.0接続の結果と比較すると、最も差がない組み合わせでも2倍程度、もっとも差が大きい本品へのPC側からの転写は5倍もの速度差が生じている。このこと、およびある程度以上の転送速度を持つものがほぼ同一の結果となっていることから、明らかにUSB 2.0の転送速度がボトルネックとなり、転送速度が頭打ちになっている結果となった。
この結果から、「USB 2.0しかないモバイルPCのストレージ容量アップとしての記憶装置」にはなにが適しているか、という観点では容量/価格の点では圧倒的にHDDが有利といえる。次点は容量を求める場合はSSDが、価格が重要である場合はUSBメモリが優れているといえるのだろうか。
しかし、「モバイル」という観点で見た場合、外付けHDDは果たして最良のチョイスなのだろうか。その点を別の方法で検証した。今回検証に用いているmp4ファイルは1時間5分のSD画質のビデオファイル。各デバイスにmp4ファイルを置いたまま、Windows Media Player 12で最初から最後まで再生させた際の消費電力を比較した。設定条件は画面の輝度最大、音量4で、12時間以上充電し満充電になったスレートPCを電源ONにし、バッテリー残量が97%となった時に再生をはじめ、1時間5分の再生終了後表示される充電容量の値を比較した。再生終了後のバッテリー残量はUSBメモリ>SDXCカード>本品>ポータブルHDDとなった。USBメモリの方が省電力ではあったが、HDDに対しては優位性を見せた。SDXCカードを除くUSB機器はすべてバスパワー駆動のため、本体の最長稼働時間に影響する。省電力な記録デバイスは、モバイルPCのバッテリーの保ちを伸ばす効果があるため、この意味でHDDでない選択をする、というのも有意なことだろう。
またスレートPCをモバイル用途として使用したときに遭遇するシチュエーションとして、振動の多い場所での使用、という場合もあるだろう。この際も回転機構がないメモリ系のデバイスは有利だ。本品を接続した状態で、静置の場合と激しく振動を与えた場合で転送時間に差が出るか検証してみた。
【静置での転送】
スレートPCのデスクトップから、本品にデータを転送した。
時間は前述の通り、USB2.0接続のため、USB3.0の5倍近くかかってしまい「1分16秒7」。
【振動を与えながらの転送】
同様の操作を本品をシェイクしながら実行した。
ハードディスクではとても耐えられないか、最低でもヘッド退避が行われるような激しい縦振りと横振りを加えたが、ほぼ誤差内の「1分16秒9」で転送完了。
とてもハードディスクには実施する気になれない激しい振動だったが、本品はSSD、回転部など機械的な動作部分がないためこのハードな環境でも全く問題なく使用できた。
このことからUSB 2.0しか装備しないモバイルPCのストレージとしては、容量に優れたHDD、転送速度と省電力性に優れた高速USBメモリ、そして容量と省電力性に耐衝撃性まで備えたSSDを価格や用途によって選び分けていく、という使い方が適しているだろう。今回アイ・オー・データ機器より発売された最新USB 3.0/2.0対応 外付けポータブルSSD「カクうす9」を検証した。デスクトップPCへ接続する固定のストレージとしても、その速さは際立っており、USBメモリでは対応しきれない大きさのデータを保存するには大変適している。またその薄く、軽く、振動に強いという特性はモバイル用途に最適で、それはUSB 2.0接続しかないPCでも消費電力の少なさとUSBメモリを上回る容量の両立ということでアドバンテージがある。
安くて容量の大きなHDD、気軽に使えてソコソコの速度のUSBメモリというUSB接続の外部記憶装置に速さと容量を兼ね備え、振動にも強く省電力な新しいデバイスとして「ポータブルSSD」というカテゴリーができたのは歓迎すべき事だろう。
商品自体も薄く、軽く、スタイリッシュで持ち歩くのに気にならない。
改善点を強いてあげるなら
・SSD本体のスタイリッシュさにくらべ、太くてゴツイUSBケーブルを細くて柔らかい取り回ししやすいものとすること。
・ヘアライン仕上げの外観を損なわないよう、持ち運びに便利なように簡便なフェルト生地の袋などが添付すること。
等だろうか。
あとUSB 3.0の限界かも知れないが、使用部材のSSDの能力を使い切っているとはいえないのが惜しく感じた。
SSDというと内蔵HDDに代わるものとして、近年確固たる地位を築いているが、持ち運びもできる軽さで充分なスピードと省電力性、USBメモリを上回る容量を持つデバイスとしてUSB接続の外付けポータブルSSDは今後シェアを伸ばしていくと思われる。その際にこのスタイリッシュな外観を持つ「カクうす9」は候補の筆頭にあげられるのではないだろうか。
末筆とはなりましたが、今回このような機会を与えてくださったインテル株式会社様、株式会社アイ・オー・データ機器様、zigsow事務局様に御礼申し上げます。またレビューアップまでの応援など常に支えとなってくれたおものだちの皆様はじめzigsowerの方々に感謝いたします。
ありがとうございました。
【製品仕様】
インターフェイス:USB 3.0/USB 2.0
電源:USBバスパワー
フォーマット:NTFS
外形寸法(本体のみ):約75(W)×110(D)×9(H)mm
質量(本体のみ):約110g
メーカー製品ページ





















ナンチャンさん
2013/03/07
harmankardonさん
2013/03/07
大丈夫だとわかっていても,さすがに振動テストをする勇気はありません.
cybercatさん
2013/03/08
なんか書いてるうちに、すげ~大作になっちゃったw
cybercatさん
2013/03/08