まるはさんやmr_osaminさんに触発されて
設計・販売者のたかじんさんに頒布お願いしました。
私はヘッドホンを使いませんので、1W+1W程度の出力が出せる
「ミニパワーアンプ」バージョンを作ります。
みなさんの聴いておられるHPA-12の
一端でも伺えれば良いなと思っています。
20131115
着荷確認:夕べ帰ってきたら、届いてました(^o^)丿
基盤のクオリティー高いです。
やはりでかい(95x108mm)
→HEN110612B(内寸96x116mm)には前後8mmの余地しか残らないw
20131117
・ケースは運用上HEN110612Bが最大
トランジスタの発熱大きいので最低片面の一部は穴あき版で通風確保
不足なら後面パネル上部に通気穴開け
・最終段の2SC1815/2SA1015のトランジスタを5パラ(2パラは裏面配置)は
収まらないし、1W+1Wだと発熱が大きく放熱器(独自工夫が必要)が必須となるので、
2SC3421/2SA1358の2パラ(最低1列でも1Wなら大丈夫)+放熱器とする。
放熱器:水谷 SP111K(外寸:h9x18x13mm)
http://www.sengoku.co.jp/mod/sgk_cart/detail.php?code=7A5G-D4MU
放熱器空間開けと熱にさらさないため電源デカップリングC(1000μFx4)は裏面配置
出来ればKZ(h35.5mmは相当厳しい、FGならh25mmで済む。)
・トランスは9V最低15VAでRSトランスで手に入る一番背の低いものを基板下に設置
レーションなしで9x100/115=7.82V(電源平滑Cを定格10Vでh20-25mmと小さく抑える)
これは必然的に81564RS(¥1360)となる。
http://jp.rs-online.com/web/p/toroidal-transformers/6719056/
Nuvotem 70051Kにしないのは、高い・基板入れるとたいして低くならない
何より四角くてRで出来たスペースにスイッチ類を押し込めない。
こんな感じかなあ・・・
うちの自作アンプのデザインフォーマット(前面スイッチ/VRつまみ、後面端子の配置・種類)
に則れば、たいして自由が無いわけだが。>積み重ねてデザイン揃わないのは不可
穴あき板で無い方にはアクリル板(ガラスエッジt3mm)で書いてるが
普通の斜め上からの視線では、端っこしか見えない。
>トランス程度が見えて嬉しくは無いかも。赤いトランスは15Vなので電圧高すぎて不可。
電源平滑C h25mmを仮置きしているが、実際はh20mmじゃ無いと入らない。
トランジスタ/放熱器は7805の仮置き、本来は上蓋に触れそうなくらい高い。
前面パネルは予備で作っていた物の手直し、手持ちスイッチ/VRつまみでまかなえた。
(フォーマット決めてるおかげ、外観は変わり映えがしないけど)
上蓋は図面にあるHEN110412の半分の深さの物(HEN110212用)でないと
基板の上は見えないし、側面穴あきパネルの面積=吸気が不足するのか??
コの字型の蓋なので熱気溜りになりそう。>組んで発熱見ないと分からない。
20131120
二階建て構造で、トランスの磁束で干渉おきてハムノイズ乗ると
せっかく頒布して頂いたたかじんさんに面目が立たないので、平屋構造に宗旨替え^^;
・ケースHEN110612BからHEN110620へ
・コンデンサ類は全て上面に置ける。
・空間/左のパンチングメタルの面積広がりエアフローは改善するはず。
・右のアクリル板(ガラスエッジ)からディスクリ構成がよく見える。
>最終段1列、直後のデカップリング(KZ 1000uF/25V)は炙られ気味。
おー、センターライン前がアンプ部、後が電源部と綺麗に二分されてるw
・トランスは15VAあれば十分そうなので81564RS(φ60xh31mm)のまま
>多少無理すれば30VA(φ70xh32mm=ピンク線、次の容量はここまで飛ぶ)も可
デスクトップでは20cmの奥行きは持て余す事になるけれど、初ディスクリ無理は出来ない。
-
購入金額
1,500円
-
購入日
2013年11月06日
-
購入場所
new_western_elecのブログ





mr_osaminさん
2013/11/13
退会したユーザーさん
2013/11/13
CR-Xさん
2013/11/14
初ディスクリで完成までは遠いと思われ。
動かなかったらまるはさんに送りつけて修正してもらおうw
mr_osaminさん
2013/11/14
点数もぐっっと増えますし。
ご健闘を祈ります。
退会したユーザーさん
2013/11/15
よほどの事がないかぎり動作します。
作ってみて気づいたのは、意外とハンダ付けが
難しい感じがしました。
パターンのハンダが乗る面が少ないのと、スルーホール
のため、ワット数が低いコテだと熱が逃げて、うまく
ハンダが付きませんでした。
特にアースのような広い面の所は60Wのコテで
溶かし直したほどです。
あと、ハンダ付けする前に、基板用フラックスを
穴のところに軽く塗っておくと作業がし易くなりました。
>動かなかったらまるはさんに送りつけて修正してもらおう
ガンダムウィングに、ハンマーに、えっと、あと何を
つけましょうかねぇ。えっ?違うって。ジオン軍だったの?
CR-Xさん
2013/11/15
週末に、まずは抵抗リストを確定させますので宜しくm(__)m
>特にアースのような広い面の所は60Wのコテで
丁寧にベタパターンを設けてありますからねえ。
はんだ付け偶にしかしないので、まだまだ上達しません。
なので仕上がり汚くなりがちですが、基本フラックスに頼ってます。
NFJさんの松脂も入手してたから使ってみましょう。
ふふふ、ガンダムネタは見てないから通じないんですよw
mr_osaminさん
2013/11/16
私は、たかじんさん設計の基板とは相性が良いのか、
フラックス無しでガンガン行ってます。
アースも問題なく、20Wでいけてますよ。
mr_osaminさん
2013/11/17
電子ボリュームはどこに?
ちなみに、このレイアウト、以前考えたんですが、
トランスと基板があまりに接近しすぎてて、たかじんさんからノイズ拾っちゃうかもと
指摘され、あきらめたんですケド。
大丈夫?
CR-Xさん
2013/11/17
2種まとめてやってるもので抵抗だけでなく、
全てのパーツ(回路も機構も)確定が同時進行というw
それとアクリル加工もまとめて頼むので
(一枚ずつは安くても送料が¥1000かかる)
プリの加工は決まってましたが、こっちのケーシング確定しないと
オーダー出来ないんですよ。
収まり悪い時の変更可/抵抗値なんかも電流量見て複数種とか
予備の手も考えなきゃいけないし。
ディスクリはいつもと違うパーツで一々リストと照合ですわw
CR-Xさん
2013/11/17
トロイダルは磁力線が閉じてるのが利点ですが
中心軸上下の磁力線付近にトランジスタが密集ですからねえ。
銅板とか鉄板入れて見る位しか手は無いでしょう。
1W+1W程度で横にベロベロっと広がったアンプとか
実用になりませんよ>うちのやり方では。
電源が肥大化しすぎるとこの趣味もやり難くなりますね。
音のクオリティに直結する訳ですが、
KITの要求する最低水準は提示して欲しいかなあ。
mr_osaminさん
2013/11/17
是非、試してください。
その結果次第で、私も・・・w
あ、良く見たら電子ボリューム回路は全く別建てなんですね。
スペース考えたら当然ですけど。
今後の行方に注目♪
mr_osaminさん
2013/11/17
確かに。
電源部を基板実装して、使いやすく・・・
あまりケーシングの事考えてなかったみたいですよ(爆)
HPA本来の構成をちょっと逸脱すると、とたんにハードル上がる感じが。
うれしいw
CR-Xさん
2013/11/17
コンストラクターじゃないと敷居が高いでしょうねー。
うちのはそんなに詰め込まなくてもとは思われるでしょうが、
HENに入る基板の大きさだったのが、運の尽きwww
真っ当ならHEN110420/110620で
伸びやか(平屋配置)に作れば良いだけですしw
ミニパワーアンプはたかじんさんも既存の応用例として
「偶々」可能としておられるだけですからねえ。
放熱器含めたトランジスタ配置とか
最初から専用に設計してないと全然違って来ますしね。
mr_osaminさん
2013/11/17
またこれが、平屋配置ギリギリなのがなんとも、萌えw
その代わりボリュームはミニデテントあきらめねばなりませぬ。
HEN110422とか欲しいw
CR-Xさん
2013/11/17
あ、VRの話し出てるからちがうか。
きっとRコアトランス使うんですね。>108mm+70mmだから絶対㍉w
mr_osaminさん
2013/11/17
トヨズミのHコアもありますですよ。
これだとHEN110620になりますが。
たかじんさん
2013/12/08
TRS-12は売り切れてしまいましたが、実はあの1.6Aって仕様は、ミニパワーアンプ用にも使えるようにということで、決めた数値なんです。
交流の電流値 x 0.6倍 が整流後の直流電流ですから、約1AのDCが取れる計算です。 ステレオなので、各0.5A流せる数値となっています。
そのあたりも考慮して選定すると良いかもしれません。
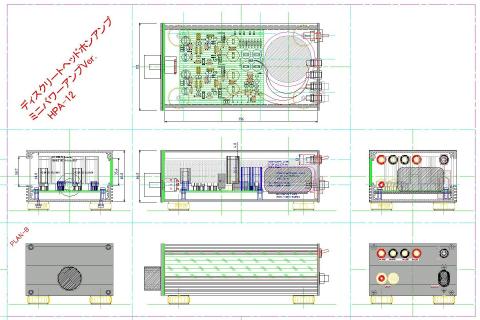
しかし、上のケースの図面、凄いですね。 プロっぽい仕事っぷりです!
mr_osaminさん
2013/12/09
Hコアって私の妄想www
Eコアの誤りです。
>しかし、上のケースの図面、凄いですね。 プロっぽい仕事っぷりです!
CR-Xさんって、その道のプロではないですか?