H67とP67のどちらにするかは、OCしない人にとってはかなり微妙で、実はこの間P8P67-Mを買ったばかりだった。なぜP67を選んだかというと、P67の方がOC出来たりクロスファイア出来たり少しだけ拡張性がありそうだったのと、所詮CPU内蔵グラフィックは使わないと思ったから。
しかし、Sandy BridgeのQSVことQuick Sync Video(内蔵GPU)、特にH.264のハードウェアエンコの性能は評判悪くない。まぁ画質の点ではソフトウェアエンコにかなわないらしいが(それはnvidiaのCUDAでもAMDのAPPでも同じ)、ハードウェアエンコだけあってかなり速いらしい。そうすると、所詮PT2の録画機能がメインで、TVの画質なんかほとんど気にしない我が家の連中にとっては、BOXDH67BLの方がグラボが必要ない分、省スペース、電源も小さくてすむし、エコということになる。
そんな訳で、これからP8P67-Mで組んだマシンを、BOXDH67BLに移植することにする。PT2とDVDドラブとメモリは流用するが、HDDはWestern DigitalのVelociRaptor (WD1500HLFS)に、電源は新しく買ったZAWARDのFLEX300に交換する。
昨日届いていたDH67BLを開けてながめてみると(ワクワク)、付属品は至ってシンプル。
でも、「自作パソコン組み立てマニュアル」とかケースに貼るマザボの回路図シールとか、初心者にも分かりやすいようにと配慮してる感じがする。
PCIスロットの近く、確かにIEEE1394とコンデンサのランドが空いている。これはBOXDH67GDと同じ基盤(FOXCONN?)を使っているということか。
IEEE1394は惜しかったかも。うちのビデオカメラは古いから。でも、頂きものだし、贅沢というものだな。IEEE1394カードありはするが、PCIスロット1つだからPT2挿すと使えないし、さてどうするか。ほかにも、IDEとかPS/2とかレガシコネクタが省かれていて、無駄がないというか何というか。
H67の一番の売りはQSVだと思うが、MediaEspressoとかMediaConverterのレビューはもういろいろなところに出ているので、Adobe PremiereでIntel Media SDKのプラグインを試してみたい。それで64ビットWindowsが必要になるが、手元にないので、とりあえずマイクロソフトのtechnetサイトからDLしてみる。
Windows 7 Enterprise 評価版
システムは、
i5-2400S+純正ファン
Corsairの1600MHz DDR3を2GB x2枚(ブルーのソケットに挿す)
起動用ドライブにWestern DigitalのVelociRaptor (WD1500HLFS)
PLEXTORが久しぶりに投入したDVDドライブ(PX-L890SA)
ZAWARDの小型300W電源 (FLEX300)
こんな感じで自作ケースに入れてみる。
64ビットWindows 7を入れて、インテルのサイトから落としてきた最新ドライバをインスコ。
インテル
INF_allOS_9.2.0.1025.exe(チップセット)
GFX_Win7_64_Vista_64_15.21.13.2342.exe(ビデオ)
USB3_allOS_2.0.34.0_PV.exe(ルネサスUSB3)
AUD_Vista_Win7_6.0.1.6343_PV.exe(オーディオ)
MEI_allOS_7.1.10.1065.exe(マトリックスストレージマネージャー)
PROWin7_64_v16.2.exe(LAN)
それから、RAIDドライバをインスコしようとすると何故か失敗する。
STOR_F6_64_10.1.0.1008_PV.exe
RAIDしてないから良いのかと思ったら、これを入れておかないと、スリープから復帰時にプライマリじゃないドライブが消えてしまう。AHCIドライバも含まれているということらしい。デバイスマネージャーからIDE ATA/ATAPIコントローラのSATA AHCIドライバを右クリック、手動インスコした。
BIOSを新しくすると立ち上げのルーチンを省いてくれるということらしいので、一応そうしてみた。
BLH6710H.86A.0110.EB.EXE
バージョンが0076から0110になって、Fast Bootのメニューが出るようになったので、3つともEnableにした。
QSVを試すためにIntelMSDKExporter_CS5-PRE9-64bit.zipファイルをDL。
Intel Media SDK
Premiere ProとMedia EncoderのPluginフォルダにIntelMSDKExporter.prmをそれぞれ入れると、エクスポートのドロップダウンメニューから[Intel Media SDK Encode]が見えるようになった。
tsファイルの拡張子をmpgに直してPremiereに読み込み、Intel Media SDK EncodeとPremiereのソフトエンコードでH.264に変換してみる。
オリジナル 1440x1080 29.97: 655,918KB(5分19秒のビデオ)
Intel Media SDK 1440x1080 29.97 :1分46秒: 293,470KB
H.264 HDTV 720p 29.97 High Quality de-interlaced: 5分8秒: 241,342KB
一応GPUエンコが早い気がする。インテルのサイトにH.264でソフトの2-3倍と書いてある通りかな。QSVでエンコしてる間はi5-2400Sは4コアとも45-55%で、思ったより高めで回っていた。
ま、とりあえず動いたので満足。これからベンチをとって、P67と比べてみたい。
<5月2日追記>
ZOTACのGTX460(メモリ2GB)をのせてみた。
いっぱいですな、こりゃ。グラボに4ピン電源が4本取られるのでFLEX300ではちょっと無理ということで、電源もAntecケースについてた350Wにとりあえず変更。しかし、350W電源はDVDドライブと一緒に押し込むのが厳しいので、平常運用にはグラボははずすしかなさそう。
という訳で、CUDAドライバをここnvidiaからDLして、TMPGEnc VMW5に認識されるところまでは確認した。
<5月3日追記>
DH67BLの内蔵グラフィックス(IDG)は、BIOSのConfiguration>Videoからオン/オフを設定できるようになっている。Enable If Primaryにしておくと内蔵をプライマリにつないだ時だけオンになって、Always Enableにするとプライマリにしなくてもオンになる。が、QSVを使うためにはプライマリにすることが必須なので、だからLucid Virtuなんかで仮想的に内蔵をプライマリにするのか、と思っていた。が、何のことはない、外付けをプライマリにしてもちゃんとQSVは走るじゃないか。
Premiere Pro CS5でQSVとCUDA対決をしたいので、Premiere用のCUDAプラグインをMainConceptからDLしてみる。Codec Suite 5.1
試用版だから、すかしが入るとか音声が最初の何十秒だけとかあるけど、とりあえずやってみる。
ExportメニューのフォーマットからMainConcept Advanced Exportを選択、[MainConcept Export Settings]タブの下から[Configure]を押して設定画面に入るとこんな感じ。
H.264/AVC CUDA acceleratedでトランスコードした結果が、
オリジナル:流れ星第2回
1440x1080 29.97fps 6,896,058KB 55分29秒のtsファイルから
1920x1080 59.94fps 3,316,174KBのm2tファイルへ、変換時間55分15秒。元の解像度を変えたくないんだけど、コーデックのメニューに無いのでしかたない。でもほぼ実時間。この時、i5-2400Sの4コアはすべて90% 前後で稼動。動きの激しいところでブロックノイズがどれくらい乗っているかは、これから。
続いてIntel Media SDKでハードウェアエンコを試そうとすると、480GBも空き容量が必要だとか言ってやってくれない。
仕方ないので、TMPGEnc VMW5でQSV・CUDA対決。
映像エンコーダのメニューに、CUDA, Intel Media SDK Hardware (QSVのこと), Intel Media SDK Software, x264が選べるようになっている。これで先ほどの流れ星第2回tsファイルを使ってCUDAとQSVを走らせた結果は、
CUDA
1440x1080
1,589,547KB
35min 37s
CPUは40%前後
QSV
1440x1080
1,589,547KB
15min 32s
CPUは60%前後
ちなみにVMW5のソフトエンコだと
X.264
1,535,300KB
2hr 2min
ぶっちぎりだな、QSV。ここまで速いと、ブロックノイズがどうだこうだって問題外ですな。
後の検討課題は、いろいろなエンコーダでQSVエンジンを比較すること、P67とH67のCUDAでどの程度の差が出るかということだな。
<5月6日追記>
SuperLoiloScopeでCUDAが走るのを確認した。実は次のベータバージョンからQSVがサポートされているが、まだ手に入らないのでCUDAの速度を見てみた。
ここloilo.tvからVer.1.8.5.2をゲット。
トップメニューの[シェア]からファイル出力を選ぶと、mp4の横にnvidiaのマークが付いてでてくる。
CUDA設定画面で、h.264プロファイルを選択する。Mainでそのままエンコすると、なぜか1920x1080で出力されてくる。下のリサイズから選ぶのかと思ったら、なぜか地デジの1440x1080が無くて、ま、仕方ないのでリサイズせずにやってみる。
例のtsファイルを変換すると、
1920x1080
4,692,627KB
ちょうど1時間
CPUは45%ていど
あまり圧縮されてない分、動きの激しいシーンでの画質はきれい。CUDAコーデックによっては地デジの解像度がサポートされていないということかどうか、良く分からない。もっと調べてみないと。
<5月8日追記>
H67を買う唯一の意味はQSVだと思うが、グラボを使うとQSVは切られるという自己矛盾があった。それを回避するのがLucidLogixのVirtuで、グラボとQSVを同時に使うことが出来るようになるという。しかし、良く分からない部分があるが、グラボを挿していても内臓グラフィックスをBIOSでAlways EnableにしておけばQSVは走っているような気がする。ただ、本当に画面の表示通りCUDAとQSVが動いているかどうかは、確認する必要があるような気もする。
という訳でいろいろ曖昧なところがありはするが、知らないうちに(5月3日)インテルのH67BL, CL, GDにLucid Virtuがバンドルされてて、ここLucid VirtuからDL出来るようになっていた。ものは試しなので、インスコしてみる。グラボを挿してないとインストーラにおこられる。
<5月13日追記>
Luvid Virtuは結論から言うとダメだった。そもそもVirtuなくてもグラボとQSVはちゃんと走ってたし、逆にVirtuのGamesタブからアプリケーション登録しようとしても、LoiloScope2, TMPGEnc VMW5, MediaEspresso6.5のどれもエラーになった。内臓グラフィックをプライマリにしなくてもQSVが走ることは他のマザーでもいくつか確認されているようなので、VirtuがグラボとQSVの共存を可能にしている訳ではなくて、Virtuレイヤーをかませるとアプリ側から見た時にグラボとQSVの使い分けを気にする必要がなくなる(自動的に最適な処理が割り振られる)ということかな。ま、素人なんで。
さて、Adobe PremiereのQSVプラグインがエラーをはいて動かなくなった原因が分かった。CUDAのためにインスコしたMainConceptのコーデックとガチンコしてるみたいだ。PremiereでCUDAのフリープラグインは無いということであきらめて、金曜ロードショーでやってたスターウォーズ・エピソード3のtsファイル(1440x1080, 29.97fps, 27min00)を使って、H.264の1280x720へ平均8Gbpsのビットレートでトランスコードしてみた。
圧縮後のファイルの大きさはビットレートをそろえてあるし似たようなものだ。
変換速度は、良く知られているようにMediaEspresso6.5のQSVがぶっちぎりで、ほんとにトランスコードしてるのか疑うような速さ。(MediaEspressoはCUDAを使ったトランスコードのやりかたが分からなかった。)次いでPremiere Pro CS5とTMPGEnc VMW5のQSVが、ま同じような速さ。SuperLoiloScope2のQSVが思ったより伸びなかった。しかし、ソフトエンコーディングはVMW5のように(X.264)とても時間がかかるが、SuperLoiloScope2でやるとQSVやCUDAと同じレベルになっている。なんでだろ?MainConceptのコーデックが優秀ということか。
CPU使用率は、MediaEspresso6.5とSuperLoiloScope2のQSVが低かった。PremiereのQSVがなぜかソフトエンコと同じほぼ100%になっていて、これはほんとにQSVなのか?
画質的にもMediaEspresso6.5のQSVが明らかに破たんしている訳でもないので、この中ではもう選択の余地はないと思う。ハードエンコの威力ということで、以前使っていたDivXリアルタイムエンコのアナログチューナーのことを、懐かしく思い出した。設定で一つだけ気をつけるのは、パフォーマンス・タブで高速変換を選ぶこと。
それでも画質、ということでソフトエンコにこだわるとすれば、SuperLoiloScope2のMainCenceptコーデックが面白いかもしれない。因みに、LoiloScope2のベータはしばらく前からここベータテスト
からDLできるようになっていた。知らなかった。で、ベータは5月の終わりまで試せるが、ソフトエンコなら今のバージョンでプレス向けのライセンスが公開されている。
その後SuperLoiloScope2のベータはバージョンアップして、有効期限も6月30日まで延長されている。何であんなにソフトエンコが早いのか理由を調べてみたいと思っていたので、有り難い。
こんな感じで、やはりQSVが期待以上、CUDAが期待以下といったところか。P8P67-MでCUDAエンコと考えていたが、ちょっとモチベーテョンが下がったな。
<5月22日追記>
一般にQSVの画質はソフトエンコに劣ると考えられている。そこで、MediaEspressoを使って、比較的好ましい画質にエンコするための条件を検討した。まずは、ファイルの大きさ。これは、同じ解像度で比較するとビットレートが上がるほど大きくなる、って当たり前かな。ところが、同じビットレートなら、解像度が変わってもファイルの大きさは変わらない。何でか分からないが、ま、解像度は気にするなってことか。MediaEspressoのQSV画質優先モードでエンコすると、若干ファイルが大きくなる。また、QSVとソフトエンコでは、出来上がりのファイルの大きさは同じだ。ビットレートが上がると、動きの激しいシーンで有利だろうから、ビットレートとファイルの大きさで妥協点を探ることになるだろう。
次は、エンコに要する時間。これも意外なことに、同じ解像度ならビットレートを上げても変わらない。一方、解像度を上げるとエンコ時間は長くなるというのは理解できる。それだけ処理する画素数が増えるから。画質優先モードでは、速度優先より2倍以上の時間がかかる。それでもまだ、ソフトエンコよりは随分早い。ソフトエンコになると速度優先QSVの5倍以上の時間がかかるが、まだ実時間内に収まっているということは、Core i5の性能ということになる。
CPU使用率は、ソフトエンコ以外、誤差の範囲。シーンによるので、大した違いはない。
さて、肝心の画質をブロックノイズが出やすいとされるベタな表面で比べると、同じ解像度ならビットレートが低い方が良い。つまり、解像度に対して必要以上のビットレートに上げると逆効果ということになる。画質優先モードの効果は、ここではほとんど見られない。また、ソフトエンコは巷で言われているようにQSVよりブロックノイズが少ないようには見えない(ここではむしろ、ノイズが目立っている)。
1.1280x720 6Mbps QSV
2.1280x720 10Mbps QSV
3.1280x720 13 Mbps QSV
4.1440x1080 10Mbps QSV
5.1440x1080 10Mbps 画質優先モード QSV
6.1440x1080 10Mbps ソフトエンコ(QSVオフ)
まとめると、ビットレートと画質の関係は予想に反してビットレートが低い方がブロックノイズが少ないという結果になり、一方出来上がりのファイルの大きさは解像度とは関係なくビットレートが上るほど大きくなるということになった。従って、出来るだけ速く、小さく、画質の良いファイルにトランスコードするためには、ある程度の解像度で低めのビットレートでQSVするのが良いと言える。また、MediaEspressoのソフトエンコの画質はQSVに勝るとは言えないし、QSVの画質優先モードも速度優先モードと比べて画質に大した違いは無い。安心して速度優先のQSVを使って良いということだ。
MediaEspressoの他、MediaConverter7でもやってみようと思ったが、Windows Media Player 10をインスコしろとか、妙なところで手抜きしてるし、QSVが動かない。ファイル監視機能が便利だから本来なら一番良いかもしれないのに。インテルのQSVサイトにリストアップしてある他のエンコーダーも試してみようと思っているが、もうちょっと時間がかかりそうだ。
インテルはDH67GDの廉価版としてDH67BLを作ったと思うが、PCIレガシ・サポートを切りすぎたという点ではどちらも同じだ。例えば、PT2を始め、ONKYOのサウンドボードも、IEEEカードもPCIだが、PCIex1に挿せるカードは1枚も持ってない。全体のバランスとしては、枯れた資産の多いPCIスロットがもう少しあっても良かったかな。ま、もらいものに文句なんか言ってはばちが当たるので、これ以上言わない。仕方ないのでPT2を放出して、PCIeに挿せる地デジチューナーを買ってみようかな。それとも、例のPCIeからPCI~2の変換基盤を買ってみるか。いや、考えてるだけで楽しいな・・・
<5月28日追記>
MediaConverter 7がtsファイルをトランスコードしてくれない件について、ヒントになる情報を見つけた。Windows 7にSP1を適用するとWindows Media Playerでtsファイルが再生できなくなるというやつだ。どうも、著作権周辺が強化された影響だという(余計なことを(失礼))。MediaConverter 7はWindows Media Playerに一部依存しているから、tsファイルが読めなくなっているんだろう。実際、他のアプリでmpegに変換したファイルだとMediaConverter 7でちゃんと読めた。古いmfds.dllをインスコしてやると復活するらしいが、ま、あれこれ入れたりはずしたりしてグチャグチャになってるから、OSからインスコやり直すのが気持ちいいかな。
という訳で、SP1を適用してないシステムからmfds.dllをコピーしてみたが、ダメだった。そうすると、次の手というか残すはK-Liteコーデック・パックを入れてやることくらいかな。要するに、MC7はファイルの読み込みがOSのコーデックに依存するってことかな。
Badaboom2.0とMovaviをDLして試してみたところ、Badaboom2.0は普通にQSV出来たがMediaEspresso6.5程の爆速ではなかった。Movaviは日本のサイトからビデオコンバーター10というやつをDLしてみたけど、QSVに関する設定がなくて、QSVを認識してるのかどうか分からなかった。
<6月4日追記>
MediaConverter 7は、いろいろやってるうちに動くようになった。が、確認する前に試用期間がエクスパイアしてしまったので、詳しい原因は不明。DLしたファイルが破損していた可能性が一番高いと思う。エクスパイアする前にベンチをとったので、上記グラフにMediaConverter 7を加えて差し替えておいた。基本的にはこれまでの印象と変わりないが、ソフトエンコではLoiloScope2.0の他にも、MediaEspresso 6.5とMediaConverter 7もなかなか健闘していることが分かった。
さて、最強のQSVエンジンを求めて、いよいよグラフィックコアのOCを試す。インテルのHPに、Performance Tuning Guideなるものがあったので、それにならってGraphics Max MultiplierとGraphics Voltage Overridesを上げてみる。
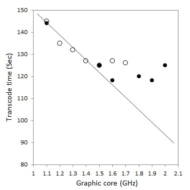
BIOSのPerformanceタブに入って、まずはDefault電圧のままGraphics Max Multiplierを36(1.8GHz)まで上げると、システムは起動したがMediaEspressoを走らせたところでIntel HD Graphicsがエラーを吐いて止まる。エンコが走るのは1.7GHzまでだった。電圧を1.50Vまで上げてやると、Graphics Max Multiplierが43(2.15GHz)でもシステムは立ち上がったが、エンコでエラーになったので、2.0GHzまででベンチを取った。これが、面白い。
○はDefault電圧、●は1.50Vでオーバークロックした時のトランスコードタイム。1.5GHzまでは線形にトランスコード時間が短くなっているが、それ以上は120秒前後で頭打ちになる。これは、おそらくディスクI/Oの帯域幅の限界の可能性が高い。大雑把に計算すると、Readが3Gb、Writeが1.2Gbで、これを120secで実行するには、Readが30Mbps、Writeが10Mbpsていどを要することになる。大体Western DigitalのVelociraptorのランダムRead/Write性能に近いオーダーだ。恐るべし。
SSDだったらもっと行けるはずだ。MediaEspressoは2GHzまで走ることが確認できているから、90秒前後までは短縮できる。もともと30分近い画像を、1分30秒で変換するということだ。ま、このハードの組み合わせではグラフィックコアを1.5GHz以上に上げる意味はないけど。グラフィックの電圧を上げるとCPUコアのBurst Mode Power Limit(ワット)も少し上げないとCPUのパフォーマンスに影響が出るかも知れない。
OC中の温度を見るために、デスクトップ・ユーティリティをインスコ。これが、アイドリング中のCPU温度。
これが、グラフィックコアをオーバークロックしてMediaEspresso 6.5のQSVを走らせているところ。CPUクーラーはインテル謹製のやつで、回転がアイドル中の2倍まで上がって頑張っているが、ファンの音は大したことはない(優秀)。チップセットも少し温度が上がるので、OC中は風を当てるようにする。
なかなか良いんじゃないの、この板(楽しませてくれる)。
市販のトランスコーダはQSVのSDK2.0を使っていて、DeinterlacingやDenoisingのフィルターが使えるということらしい。確かMediaConverter 7に、Deblockっていうラジオボタンがあったな。Intel Media SDK
Intel® Media SDK 2.0 Key Features
Video Encoders • H.264, MPEG-2
Video Decoders • H.264, MPEG-2, VC-1
Preprocessing Filters
• Brightnessa
• Color conversion
• Contrasta
• Deinterlacing/Inverse Telecine
• Denoising
• Detail (sharpening) filtera
• Frame rate conversion
• Huea
• Resizing
• Saturation controla
• Scene change detection
ディベロッパ向けにSDK3.0のベータが出ていて、少しパフォーマンスとクオリティが良くなるようなことがインテルのHPに書いてある。PegasysとLoiloには頑張って欲しい気がする。
<6月10日追記>
グラフィックコアのOCでMediaEspresso6.5のトランスコード時間が頭打ちになる件、ディスクI/Oの帯域が足りないのではないかと予想していたが、そうではないようだ。1.6GHzと2GHzに違いが出るかどうかを指標に、インテルのX25-Mで試したところ、OCによるトランスコード時間の短縮は見られなかった。しかし、X25-MはランダムReadが若干弱いので、念のためI-OデータのRamphantomEXでもやってみた。
Ramdiskは大きく取れないので、500MBの小さなtsファイルを用意してトランスコードしてみた。
○がVelociraptor、●がRamphantomEXの結果。縦軸は、1GBのファイルに換算した時のトランスコード時間。ファイルが大きくないためトランスコードが18秒とか22秒で終わってしまい、誤差がかなり大きくなるが、Ramdiskの方がVelociraptorより若干早くなる傾向があるかも知れない。しかし、1.6GHzと2GHzの間に違いは見られないので、2GHzのOCで期待されるような性能が出ない理由はディスクI/Oの帯域制限ではない。
グラフィックコアに流れる電流が足りないためOCに制限が掛っている可能性はどうかと考え、BIOSにもどってConfigurationで32アンペアから40アンペアまで上げてみたが、何の変化も無かった。また、グラフィックコアの消費電力を抑えるため、1.8GHz固定で電圧を1.40Vまで落としてみたが、これもトランスコード時間の短縮にはならなかった。
ここでふと浮かんだ疑問が2つ。
(1)H67はそもそもOCをサポートしてなかったんじゃないのか?
(2)Core i5-2400SはそもそもOC出来ないんじゃなかったのか?
Core i5-2400SでもTurbo Boost倍率を定格プラス0.4GHzまで上げられるらしいが、H67はそもそもTurbo Boostの倍率変更をサポートしてない。しかし実際は、DH67BLのBIOSでPerformanceタブの下に
Core Max Multiplier (定格33: 3.30GHz)
Graphics Max Multiplier (定格22: 1.1GHz)
があって、Coreの方は(もちろんK番でもP67でもないので)グレーアウトされてて変えられないけど、Graphicsの方は2400Sでも設定変更出来るようになってる。もしかすると、BIOSではGraphicsのMultiplierがいくらでも設定出来るように見えてるけど、ある制限以上(つまり0.4GHz)はK番じゃないCPUでは反映されないということかも知れない。ある意味BIOSのバグ、っていうか、H67とP67で同じBIOS使ってる?辻褄は合ってるな。
TDP65Wが売りの2400Sは、2400の中から低電圧で駆動する石を選別したものではなくて、単に2400の標準クロックとTurbo Boost倍率を制限したものらしい(ベースクロックはPCIeとの関係で殆ど動かせない)。じゃ何で2400Sの方が2400より高い値段で売られてるのかっていうことになるが、インテルのマーケティング戦略だろうか。グラフィック・コアのOC性能については詳しい記事が見つからないので想像するしかないが、CPUとGPUのTurbo Boostは連動する(TDP上限の中で動作する)ということなので、低消費電力じゃない石なら、K番じゃなくてもグラフィック・コアのOCがもう少し伸ばせるのかも知れない。
1月のレビュー(ココ)に、どのSandy Bridgeモデルでもグラフィックスはロックがかかってないと書いてある。もし本当なら、やっぱり2400SはTDPが低く設定してあることが壁になっているんじゃないか。
実は、MediaEspresso6.5のトランスコードの信じられない速さとLoiloScope2.0のQSVの意外な遅さがずっと気になっていて、もしかするとMediaEspresso6.5やMediaConverter7はファイルを指定した時点で既にデコード(或いは何らかのプレプロセシング)をやってるんじゃないかと。MediaEspresso6.5で読み込みファイルを指定すると、初回は延々と何かやっているけど次回からは直ぐにメニューに戻る。ファイルを読み込んでからエンコードが終わるまでの時間という点ではLoiloと変わらないかも知れない。デコードとエンコードをそんな風に分離することが可能なのか、意味があるのか分からないけれど。だから、MediaEspresso6.5のトランスコード時間として測定しているものが実際は何を意味しているのかは注意が必要かも。
<6月21日追記>
MediaEspresso6.5で、GPUオーバークロックの限界が1.5~1.6GHzにある件、DH67BLのBIOSで可能な範囲で検討した。
当初考えたのは、Core i5-2400SのTDPが65Wに制限されているため、GPUの上限倍率に到達する前に消費電力の制限にひっかかっているのではないかということで、GPUの電圧を出来る限り落としてみた。グラフィックのターボ倍率が35=1.75GHzまたは30=1.50GHzの場合、それぞれ1.24Vと1.12VがGPUを駆動する最低電圧になったが、これらの条件でもトランスコード時間の短縮は見られなかった。また、GPUの電圧を落とした条件でGPUに流れる電流の上限値を32アンペアから40アンペアに上げても、パフォーマンスの向上は得られなかった。さらに、CPUに消費される電力を絞るため、CPUコア数の設定をALL(=4)から2に減らしてみたが、これも効果は無かった。従って、GPUの消費電力が制限となっている可能性は低いと考えられる。
残されたパラメータはメモリ帯域ということになるが、悲しいかな、DH67BLは1333MHz以上のOCをサポートしていない。そこで、逆にメモリ速度を落とした時にトランスコード時間が影響を受けるかどうか検討したところ、これが当たった。GPU 1.5GHzでメモリを1067MHzに落とすと、メモリが1333MHzの時のGPU 1.1GHzに近い時間がかかることが分かった。即ち、GPUが1.5GHzで動作している時は、1333MHzより遅いメモリはボトルネックになる可能性がある。うーん、まさか、メモリだったとは。
DH67BLで可能な検証はここまでになるが、究極のQSV性能を引き出すにはメモリ速度の改善が必要となる可能性が高い。逆に、CPUクーラー、SSD、K番の石などに投資することは、あまり意味が無いだろう。計算上、Core i5-2400Sのグラフィック・ターボ最大倍率に於けるトランスコード:30sec/Gbの理論値を引き出すには、1600MHz超のメモリ速度が必要と予想されるが、メモリOCをサポートする新しいZ86マザーで試してみたい(Sandy Bridge内蔵のメモリコントローラはどうなってんのかなぁ)
Core i5-2400Sのグラフィック性能はK番のものに劣るが、QSVに関してはi7からi3まで全く同じだ。低消費電力がQSVの障壁にはなっていないことも確認されたし、その意味ではCore i5-2400Sを選んだことは間違いではなかったな。
DH67BLに関しては、Sandy Bridgeのグラフィック性能を生かしたコンパクトな省エネAVシステムという方向性で堅実なソリューションかなと思う。CPUが80℃を超えるほどグラフィックをOCしても極めて安定していたし、信頼性という点では問題になることはなかった。ちょっと古いビデオカメラやサウンドカードなどレガシーな資産がそのままでは生かせなかったり、Sandy Bridgeの性能がフルに発揮できない面があるなど、古い人間には少し物足りないところも無くはない。しかし、頂きものの板で、殆ど情報の無いQSVのOCを試す機会を頂いて、本当に楽しませてもらった。
<9月21日追記>
QSVのOC性能に対するメモリクロックの影響を検討したので報告する。DH67BLと直接関係ないので別エントリーにするべきかもしれないが、これまでの話しと関係あるので多少なりとも参考になればと思う。
測定環境は、
ASUS P8Z68-M Pro
Core i5-2500K
Corsair CMT4GX3M2A2000C8 (2GBx2)
MediaEspresso 6.5.1718_38196
ターゲットファイルは、1.01GBのMPEG-2 TSビデオ
I-O DATAのRamPhantomeEX LE Version 1.0.0で1.7GBのRAMディスクを作り、RAMディスク上でファイル入出力を行った。DDR3メモリのレイテンシも低くなっていることもあり、RAMディスクのR/W速度が改善しているが、これがQSV速度に影響する可能性は低い。
メモリ速度をデフォルトの1333MHzまたはXMP指定の1866MHzにそれぞれ固定し、iGPUすなわちQSVのクロック上限を1100から2000MHzまで変えて1GBのファイルをトランスコードする時間を比較した。Core i5-2500Kだが、CPU負荷は10%も行かないので、ターボブーストの影響を見ている可能性は低い。
反比例のグラフに見える。ま、当たり前か。QSVクロックが倍になれば、トランスコード時間は半分になる、って言うか、もっと正確に言うとQSVクロックから約1000を引いた値に反比例する。しかし、QSVクロックをある程度以上げても、今度はメモリ帯域がボトルネックになるのでトランスコード時間はあるレベル以下には短くならない。また、QSVクロックに関わらずメモリ速度が早ければトランスコード時間は短くなっているので、QSVをOCしない条件でもメモリ帯域の制限を受けるほど高速で動いていることが分かる。
P8Z68-M Proは、QSVクロック上限3000MHzまでサポートするが、空冷では2200MHzでも動かなかった。QSVの駆動電圧はAUTOで選択されるので、実際どこまで電圧が上がっていたかチェックしていないが、ちゃんとしたCPUクーラーが必要だな。因みに、メモリクロックも2133MHzまで上げて動くには動いたが、これはレイテンシが10まで下がってしまい逆効果になった。
という訳で、QSVのハードウェア・エンコ/デコードは、DDR3の高速メモリもついて行けないほど速いということが分かった。CPUに依存するアプリケーションでQSVほどのメモリ帯域を要するものは無いんじゃないかと思うが、QSVを使ったTVサーバという視点に限れば、出来るだけ高速なメモリに投資することには意味がある。H67チップセットは残念ながら1333MHzまでのメモリしかサポートしないという制約はCPUのOC制限以上に重く、Z68マザーの最安値が8000円に対しH67マザーの最安値が6000円ということを考えると、H67マザーは歴史的な意味しかなくなってしまったと言えるんじゃないか。
<DH67BLの用途>
価格さえこなれてくれば、DH67BLは基本、外部グラフィックボードを必要としないミニマリスティックなシステム、OCの必要がないオフィス用途のPCには向いている。今、メインに使ってるPCのPentimu 4 3.2GHzとDDR400(8年前のシステム)を基準にするとどれくらいの性能向上が望めるかというと、例えばコスパが一番高いCore i3-2100と2GBx4枚組のKHX1333C7D3K4で組み直したら、CPU性能およびメモリ帯域ともに約6.7倍の高速化という計算になる。しかも合わせて15000円以下の追加投資だ。最近出たCeleron G500番台は確かに安いが、Pen4と比べると大した違いはないのでインパクト低い。一方、Core i3とCore i7のパフォーマンスの違いは2倍程度しかないので、Core i3でいいかなという感じ。
<1月14日追記>
同じQSVなのにMediaEspressoはぶっ飛んで速い。ま、素人なので詳しいことは何とも言えないがココの記事をみると、やはりアプリによってQSVの利用効率に差がでるみたいだ。
IntelがGraphic Performance AnalyzerというGPUのリアルタイム解析ツールをタダで配っていて(ココから:右上DOWNLOADボタン)、これのMediaPerformanceツールでMediaEspressoの動作を見てやるとこんな具合。
GPU Generalが90%を超えると、GPUにTurboBoostがかかるということらしい。それ以下だとブーストしないので、これだけでも1.5倍くらいの差がつくことになる。因みに、左側のGPU Execution Unitは汎用コアの利用率、右側のMulti-Format Codec Engine (MFX)がQSVコンポーネントらしい。
実際、MediaEspressoの動作をCaptureして Platform Analyzerというモジュールで中身を見てみると、MediaEspressoがどうやらQSVを極めて高い効率で走らせているらしいことが分かる。
コメント (9)
他6件のコメントを表示ZIGSOWにログインするとコメントやこのアイテムを持っているユーザー全員に質問できます。
YouTube の動画を挿入
YouTube の URL または動画の ID を入力してください
動画の ID が取得できません。ID もしくは URL を正しく入力してください。
ニコニコ動画の動画を挿入
ニコニコ動画の URL または動画の ID を入力してください
動画の ID が取得できません。ID もしくは URL を正しく入力してください。
ZIGSOWリンク挿入
検索対象とキーワードを入力してください
外部リンクを挿入
リンク先の URL とタイトルを入力してください
URL を正しく入力してください。
ほかのユーザーのレビュー
-
インテル Boxed Desk Top Board DH67BL BOXDH67BLB3
ロクナナ!トリオレビューBOXDH67BLレビューワーに選ばれました。zigsowならびに関係各位の皆様に感謝いたします。zigsow初レビューで、かなり緊張...
-
インテル Boxed Desk Top Board DH67BL BOXDH67BLB3
「組立編」「エンコード編」「省エネ編」とレビューします。5/8エクスペリエンスインデックスを追記いたしました。ひとまずの構成です。M/...
-
インテル Boxed Desk Top Board DH67BL BOXDH67BLB3
◇◇はじめに◇◇この度は、「“SandyBridge”対応インテルデスクトップ・ボードロクナナ!トリオレビュー」の「BOXDH67BLB3」レビュアーに選出して...
-
インテル Boxed Desk Top Board DH67BL BOXDH67BLB3
SandyBrige対応のIntel製マザーボード。純正マザーだけに余分な機能がついておらず、省電力化が容易なため、省電力PCの構築がやりやすい。というこ...
-
インテル Boxed Desk Top Board DH67BL BOXDH67BLB3
このたび、「“SandyBridge”対応インテルデスクトップ・ボードロクナナ!トリオレビューBOXDH67BL」のレビューアーに採用されました。選出いただき...
-
インテル Boxed Desk Top Board DH67BL BOXDH67BLB3
インテル デスクトップ・ボード BOXDH67BLB3 ロクナナ! 体験レビュー内容物 (BOX内) マザーボード ドライバーDVD SATAケーブル(赤) 2...
-
インテル Boxed Desk Top Board DH67BL BOXDH67BLB3
とりあえず、箱の中身を録ってみましたやはりかなりシンプルですね。SATAケーブル2本、ドライバDiskと簡単なマニュアル(英語)のみ初めて自作...
-
インテル Boxed Desk Top Board DH67BL BOXDH67BLB3
BOXDH67BLB3のレビューに選ばれました。Intelおよび事務局様ありがとうございます。最新のH67チップセットを搭載している本製品ですが、普段OCばか...
-
インテル Boxed Desk Top Board DH67BL BOXDH67BLB3
お久しぶりです…。当たるとは思っていなかったので、少し驚いていますが、レビューをしていきたいと思います。4/22にマザーが届いたため早速...
-
インテル Boxed Desk Top Board DH67BL BOXDH67BLB3
この度は「ロクナナ!トリオレビュー BOXDH67BLB3」のレビューの機会を頂きましてありがとうございます。intel様、ziqsow様にお礼を申し上げます。...
-
インテル Boxed Desk Top Board DH67BL BOXDH67BLB3
組立順序基本的に付属してたガイド通りにやってみました。久々の自作だから、自信ありませんでしたが、無事に組めました。ブランクあります...
-
インテル Boxed Desk Top Board DH67BL BOXDH67BLB3
【5/12追記】いろいろと調べた結果、結局CentOS5.6へ戻ってきた。何より、GUI、CLIともにインストールの段階で全てのドライバが正常にあたりました...
-
インテル Boxed Desk Top Board DH67BL BOXDH67BLB3
zigosw様、Intel様この度はロクナナ!トリオレビューにて「BOXDH67BLB3」のレビューの機会を頂きありがとうございました!今回は主に組み立てまでの...
-
インテル Boxed Desk Top Board DH67BL BOXDH67BLB3
レビューモニタープレゼントでいただきました。機器構成CPU:i7-2600 M/B:BOXDH67BLB3(これ)メモリ:TEam-Elite-1333PC3-10700DualChannelsHDD:WDCWD10EADS-22M2...
-
インテル Boxed Desk Top Board DH67BL BOXDH67BLB3
“SandyBridge”対応インテルデスクトップ・ボードロクナナ!トリオレビューBOXDH67BLに当選しまして、前から製作計画を立てていた録画&エンコード...
-
インテル Boxed Desk Top Board DH67BL BOXDH67BLB3
この度はロクナナ!トリオレビューの第2弾「インテルデスクトップボードBOXDH67BLB3」に御選出を頂き有難う御座います。この様な機会を下さったzi...
-
インテル Boxed Desk Top Board DH67BL BOXDH67BLB3
最初に当選メッセージが来た時は驚きましたがZigsowさんありがとうございます。MicroATXマザーを使うのは初めてだったんですが、現物を手に取ると...
-
インテル Boxed Desk Top Board DH67BL BOXDH67BLB3
追記中です<初めに> 今回レビューを書かせていただくにあたり、次の二つに留意しております。 ・見やすいこと ・シンプルであること(...
-
インテル Boxed Desk Top Board DH67BL BOXDH67BLB3
P67搭載マザーは、何枚か使ったことありますが、H67搭載マザーは初体験です。レビューに先立ち、この度はレビューアーに選んで頂き、Zigsow様、In...
-
インテル Boxed Desk Top Board DH67BL BOXDH67BLB3
待望のレビュー用マザーボードが到着しました!いままで使ってきたメインマシンが購入から5年も経過し、スペック的にキツイので、渡りに船の...
-
インテル Boxed Desk Top Board DH67BL BOXDH67BLB3
まずはじめに、各ご関係者様にレビューアーに選出いただいた事を御礼申し上げます。----自作を始めてかれこれ10年ちょい、数台の組み立てや友...
-
インテル Boxed Desk Top Board DH67BL BOXDH67BLB3
今回プレミアムレビューに選んでいただきありがとうございます。小生の最新鋭機は、Corei7-980Xの第一世代Coreiシリーズの当時最高峰を持って組み...
-
インテル Boxed Desk Top Board DH67BL BOXDH67BLB3
4月22日到着。とりあえずメモリーとSSDは使い回すとして、1155cpuを調達しなくっちゃ。あ、キーボードはUSBだし、アナログVGA端子はないんだな...









































Nao-Rさん
2011/05/01
Intel Media SDKは、Premiere Elements対応、と思ったら
家のは古くてNG、残念 (--;
sorrowさん
2011/05/02
コメント有難うございます。
三十爺さん
2011/05/03
当方も難儀している部分が多々ありまして皆様のレビューを拝読させえていただいている状況です。
BIOSのアップデートはまだ行っていないので、私もそちらに挑戦してみます。
大変参考になりました、ありがとうございます。.
sorrowさん
2011/05/03
ご覧頂いて有難うございます。ファンコンのこととかもあって、BIOSアップデートは、した方が良さそうなことが書いてありましたよ。
退会したユーザーさん
2011/05/16
yasuさん
2011/08/28
yasuさん
2011/08/28
みならいたいです。
退会したユーザーさん
2012/01/18
参考になりました
リンさん
2012/01/25
私もQSVを良い機能だと思っていましたが、
ここまで研究されている方がいるとは思いませんでした。
素晴らしいレビューですね!
文句なしのCOOL ですo(^o^)o